鹤山站在亚热带森林土壤氮转化功能微生物对季节降水变化响应的研究中取得进展
作者:鹤山站 更新时间:2017-09-01
季节降水变化日趋严峻,亚热带森林生态系统功能和组成受到了严重的威胁。氮素是生物体赖以生存的大量元素之一,也是导致环境污染的重要因子。因此,参与土壤氮循环的功能微生物不仅是森林生态系统的重要组成部分,更是维持生态系统功能稳定性的内在驱动力。研究亚热带森林土壤氮循环功能微生物对降水格局变化的响应,将为进一步研究该生态系统功能的稳定性提供有力的依据。
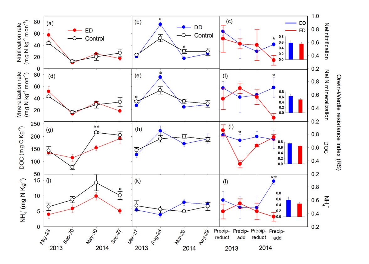
中科院华南植物园博士研究生陈洁在导师刘卫副研究员和申卫军研究员的指导下,基于鹤山荷木混交林的野外人工季节降水控制实验平台,研究了降水季节变化干扰下,土壤硝化、反硝化功能微生物丰度,以及氮循环相关指标对环境变化的“抗力”指数(resistance index)。结果发现功能微生物对降水变化的响应显著大于氮转化速率对降水变化的响应(图1);延长干季对功能微生物和氮转化速率的影响显著大于干季更干;但在两种季节降水变化下,硝化菌对环境变化的耐力指数显著大于反硝化菌(图2)。这些结果表明功能微生物能快速敏感地对季节降水变化做出响应,是预测生态系统功能变化的重要指标;相比反硝化菌,硝化菌对降水格局变化引起的干扰有较强的抵抗能力。该结果目前以 “Ammonia-oxidizing archaea are more resistant than denitrifiers to seasonal precipitation changes in an acidic subtropical forest soil” 为题在“微生物学前沿”杂志《Frontiers in Microbiology》(IF=4.076)上发表,详见https://www.ncbi.nlm.nih.gov/pmc/articles/PMC5522861/。

图1. 季节降水格局变化下,土壤氮转化速率、可溶性有机碳(DOC)、铵态氮含量以其耐力指数(resistance index)的变化。ED: 延长干季、湿季更湿处理;DD: 干季更干、湿季更湿处理;Precip-reduct: 减少降水;Precip-add: 增加降水。

图2. 季节降水格局变化下,土壤硝化、反硝化功能基因丰度及其耐力指数(resistance index)的变化。Archaeal amoA: 氨氧化古菌的氨单加氧酶基因;nirK, nirS: 亚硝酸还原酶基因;nosZ:氧化亚氮还原酶基因;ED: 延长干季、湿季更湿处理;DD: 干季更干、湿季更湿处理;Precip-reduct: 减少降水;Precip-add: 增加降水。